Основные препараты гликозидной структуры
Препараты наперстянки
Наперстянка (Digitalis) - травянистое растение. Свое название наперстянка получила по форме ее цветков, похожих на наперстки. Существует несколько видов наперстянки, из которых наиболее известны наперстянка пурпуровая (Digitalis purpurea), которая произрастает в странах Центральной Европы, и наперстянка шерстистая (Digitalis lanata), произрастающая в основном на Балканах.
Каждый вид наперстянки содержит несколько сердечных гликозидов. В настоящее время получены препараты отдельных гликозидов. Одним из таких препаратов является Дигитоксин - препарат гликозида, который содержится в наперстянке пурпуровой и наперстянке шерстистой.
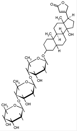
Дигитоксин
Химическое название ― (3бета,5бета) -3- [(О-2,6-Дидезокси - бета - D - рибо -гексопиранозил - (1"4) - O - 2,6 - дидезокси - бета - D - рибо - гексопиранозил) - (1"4) - 2,6 - дидезокси - бета - D - рибо - гексопиранозил)окси] - 14 - гидроксикард - 20(22) - енолид
Брутто-формула - C41H64O13
Характеристика:
Гликозид, получаемый из разных видов наперстянки (в т.ч. пурпуровой). Белый кристаллический порошок. Практически нерастворим в воде, слабо растворим в спирте.
Фармакологическое действие - кардиотоническое, антиаритмическое, улучшающее аккомодацию глаза. Угнетает Na+-K+-АТФазу, увеличивает содержание внутриклеточного натрия, стимулирует обмен между натрием и кальцием и повышает уровень кальция в миокардиоцитах, способствует взаимодействию актина с миозином, образованию актомиозина и усилению сократимости миокарда. Является неполярным сердечным гликозидом и хорошо всасывается при приеме внутрь: биодоступность - 100%. В плазме на 90% и более связан с белками. Свободная фракция метаболизируется в печени с образованием небольшого количества фармакологически активного дигоксина, инертных метаболитов. Большая часть дигитоксина при «первом прохождении» через печень не метаболизируется и экскретируется с желчью в кишечник, реабсорбируется и поступает снова в печень. Кишечно-печеночная рециркуляция продолжается до полного превращения свободного дигитоксина в метаболиты, которые выводятся из организма с мочой. Ежедневно выводится 14% от общего содержания в организме. T1/2 - 6-7 дней. Экскреция и метаболизм не зависят от функционального состояния печени и почек. Вследствие высокой биодоступности и небольшой скорости элиминации быстро кумулирует. Терапевтическая концентрация в сыворотке крови - 13-15 нг/мл. По сравнению с др. гликозидами обладает наиболее продолжительным действием. Начало действия - через 1-4 ч после приема, пик действия - через 8-14 ч, продолжительность - 14 дней. Оказывает положительный инотропный эффект, отрицательные дромо- и хронотропный эффекты на сердце. Стойко увеличивает фракцию выброса при длительном применении даже при тяжелой сердечной недостаточности. Влияет на нейрогуморальные механизмы, ослабляя чрезмерную симпатическую активность. Антиаритмический эффект обусловлен уменьшением скорости проведения через AV узел и удлинением эффективного рефрактерного периода. Может вызывать повышение ОПСС. При закапывании в глаза повышает тонус цилиарной мышцы, улучшает ее сократимость, аккомодацию.
Применение. Хроническая сердечная недостаточность, в т.ч. с тахисистолической формой мерцания предсердий, сердечная недостаточность с низким сердечным выбросом, пароксизм синусовой тахикардии, вызванной острой сердечной недостаточностью, трепетание предсердий (для перевода в мерцание, а затем - в нормальный синусовый ритм), профилактика пароксизмов предсердной тахикардии. Астенопия, пресбиопия, латентная гипертензия и усталость глаз, нарушение внутриглазного кровообращения, боль в глазах (при мигрени).
Противопоказания. Гиперчувствительность, гипертрофическая обструктивная кардиомиопатия, WPW-синдром, AV блокада высокой степени, желудочковая тахикардия и фибрилляция желудочков, рестриктивная кардиомиопатия, клапанный стеноз с резким снижением сердечного выброса, хронический перикардит, ранний период инфаркта миокарда, синусовая брадикардия, синдром слабости синусного узла, тяжелый миокардит, кардиоверсия, амилоидоз сердца, легочное сердце, тиреотоксикоз, микседема, хронические заболевания легких, острая дыхательная недостаточность, гипокалиемия, пожилой возраст, нарушения функции печени.