Таутомерия моносахаридов
Как говорилось выше, химические свойства сахаров не могут быть полностью объяснены, если для них принять строение полиоксикарбонильных соединений. Однако и циклические полуацетальные формулы Колли-Толленса, устраняющие ряд противоречий, неудовлетворительны, поскольку они не объясняют альдегидных свойств моносахаридов и их способности давать ациклические производные, например, присоединять синильную кислоту с образованием оксинитрилов, давать тиоацетали и т. д. Это привело к заключению, что моносахариды, способны к таутомерным превращениям:
Подобные таутомерные превращения известны под названием кольчато-цепной таутомерии. Моносахариды в зависимости от условий реакции и примененных реагентов реагируют в одной из таутомерных форм: пиранозной, фуранозной или ациклической. Сахара были исторически одними из первых веществ, для которых наблюдалось явление таутомерии. Понятие о кольчато-цепной таутомерии возникло при рассмотрении свойств моносахаридов, и лишь позднее это явление было обнаружено для более простых γ- и δ-оксикарбонильных соединений.
Существование таутомерии для моносахаридов подтверждено экспериментально путем исследования их оптической активности, а в последнее время также с помощью ЯМР- и ИК-спектроскопии.
Еще в 1846 г. Дюбрюнфо обнаружил, что удельное вращение раствора глюкозы изменяется во времени, пока не достигнет некоторого постоянного значения. Это явление, наблюдающееся также и для всех других моносахаридов, получило название мутаротации. Мутаротация связана с взаимными превращениями таутомерных форм моносахарида и установлением равновесия между ними. Положение равновесия зависит от структуры и стереохимии моносахарида, но не зависит от того, из какой таутомерной формы данного сахара мы исходим. Так, свежеприготовленные водные растворы а- и р-D-глюкозы имеют удельное вращение [a]D+106° и +22,5° соответственно. С течением времени удельное вращение первого падает, а второго возрастает, в обоих случаях достигая постоянного значения +52,5°.
Если исходить из приведенной выше схемы равновесного взаимопревращения пяти различных форм, то скорость мутаротации должна выражаться весьма сложным уравнением. Однако для многих моносахаридов (например, для D-глюкозы и D-ксилозы) скорость мутаротации подчиняется уравнению обратимой реакции первого порядка, что соответствует равновесию только между двумя таутомерными формами соединения. Прочие таутомеры присутствуют в этих случаях в очень низкой концентрации.
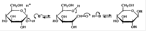
Скорость мутаротации возрастает как в присутствии кислот, так и в присутствии оснований. Считается, что стадией, определяющей скорость процесса, является промежуточное образование открытой формы:
Скорость мутаротации некоторых cахаров (например, D-галактозы, D-рибозы и всех кетоз) не подчиняется уравнению первого порядка. Это является результатом того, что в растворе в заметных концентрациях присутствует более двух таутомерных форм вещества. Кроме пиранозной формы в этих случаях в растворе должна находиться также фуранозная или ациклическая форма, или обе формы вместе.
Способов, позволяющих экспериментально показать присутствие в растворах ациклической формы, в настоящее время не существует. Ни инфракрасные, ни ультрафиолетовые спектры моносахаридов не содержат характерных для карбонильной группы максимумов поглощения. Это может объясняться гидратацией карбонильной функции ациклической формы, которая к тому же присутствует в растворе в очень низкой концентрации.
Долгое время считали, что содержание ациклической формы может быть определено полярографически и объясняли различие в скоростях полярографического восстановления моносахаридов присутствием в равновесной смеси различных количеств альдегидной формы. (Эти концентрации даже были вычислены.) Однако позднее показано, что в действительности нельзя связывать скорость полярографического восстановления моносахаридов с концентрацией альдегидной формы в их водных растворах.