Строение олигосахаридов
Класс олигосахаридов составляет промежуточную между моносахаридами и полисахаридами группу углеводов, которые еще сохраняют многие свойства мономерных сахаров и в то же время обладают рядом особенностей, характерных для полисахаридов. Хотя эти соединения по своей структуре и свойствам вплотную примыкают к упомянутым выше двум большим классам природных сахаров, они имеют немаловажное самостоятельное значение.
К олиго- и полисахаридам относятся соединения, молекулы которых построены из остатков моносахаридов, соединенных О-гликозидными связями. Разграничение олигосахаридов и полисахаридов не может быть сделано строго, поскольку природные углеводы представлены почти непрерывным рядом соединений от моносахаридов до высших полисахаридов. Однако с методической точки зрения целесообразно считать олигосахаридами соединения, содержащие до 8 - 10 моносахаридных звеньев, а к полисахаридам относить более высокомолекулярные сахара. Внутри класса олигосахаридов различают в зависимости от числа моносахаридных звеньев дисахариды, трисахариды, тетрасахариды и т. д. Олигосахаридами в принятой выше несколько условной классификации можно считать соединения, при изучении которых могут быть применены обычные логические подходы и методические приемы органической химии. Так, олигосахариды, как правило, можно выделить в индивидуальном состоянии и для них возможно установление однозначной структурной формулы, в том смысле, как это принято в органической химии. Для полисахаридов, напротив, понятие индивидуального вещества заменяется понятием смеси полимергомологов с однотипной структурой макромолекул. Поэтому и структурные формулы полисахаридов носят несколько условный характер, отвечающий условности соответствующего понятия в химии высокомолекулярных соединений. Отсюда вытекает и ряд различий в методах исследования обоих классов углеводов: для олигосахаридов характерны методы классической органической химии, для полисахаридов - методы химии высокомолекулярных соединений.
В молекуле олигосахарида, в котором все гликозидные связи образованы полуацетальным гидроксилом одного моносахарида и спиртовым гидроксилом другого, в конце цепи остается один незамещенный полуацетальный гидроксил. Такие олигосахариды, обладающие рядом характерных свойств карбонильных соединений, носят название восстанавливающих (редуцирующих) олигосахаридов. Примерами восстанавливающих олигосахаридов могут служить лактоза I и мальтотриоза II:
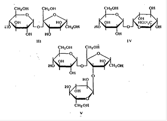
Олигосахариды, в которых один из гликозильных остатков связан гликозидной связью с полуацетальным гидроксилом другого моносахарида, не содержат ни одного свободного полуацетального гидроксила. Такие соединения не проявляют характерных альдегидных реакций и называются невосстанавливающими (нередуцирующими) олигосахаридами. Типичными представителями невосстанавливающих олигосахаридов являются сахароза III, трегалоза IV и мелецитоза V:
Олигосахариды, в которых к спиртовым гидроксилам каждого моно- сахаридного звена присоединено не более одного гликозильного остатка, называются неразветвленными; в разветвленных олигосахаридах содержатся моносахаридные звенья, несущие более одного гликозильного остатка на спиртовых гидроксилах. Такие звенья называются точками разветвления олигосахаридной цепи.
Соединения II и V могут служить примерами неразветвленных олигосахаридов, а трисахарид солатриоза VI и тетрасахариды ликотетраоза VII и бифуркоза VIII - примерами разветвленных олигосахаридов.
Моносахариды, находящиеся на концах олигосахаридных цепей, называются концевыми (терминальными). В восстанавливающих олигосахаридах отличают восстанавливающий конец, или восстанавливающее звено, содержащее свободный полуацетальный гидроксил, от прочих концевых звеньев, которые часто называют просто концевыми моносахаридами. Так, в формуле VII остатки, отмеченные цифрами 1 и 2, являются концевыми, цифрой 3 обозначено звено, являющееся точкой разветвления, а цифрой 4 - восстанавливающее звено. Олигосахариды, построенные из остатков одного моносахарида, называют гомоолигосахаридами, в отличие от гетероолигосахаридов, в состав которых входят остатки различных моносахаридов. Так, например, мальтотриоза II является гомотрисахаридом в то время, как бифуркоза VIII представляет собой гетеротетрасахарид.