Пенициллины
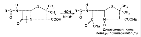
Реакция щелочного гидролиза пенициллинов используется в гидроксамовой реакции, в количественном йодометрическом определении пенициллинов.
Рис. 4. Щелочи и пениниллиназа гидролизуют β-лактамное кольцо с образованием неактивной пенициллоиновой кислоты
Гидроксамовая реакция
Гидроксамовая реакция основана на наличии β-лактамного кольца в молекуле пенициллина. При взаимодействии пенициллинов со щелочным раствором гидроксиламина гидрохлорида происходит реакция гидроксиламинолиза с образованием гидроксамовой кислоты, которая после подкисления образует окрашенные комплексные соли с солями тяжелых металлов: с солями железа (Ш) фиолетового цвета раствор гидроксамата железа (III) и зеленого цвета осадок гидроксамата меди (II) (рис. 5).
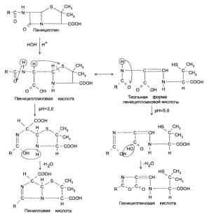
Образование пенилловой и пенициленовой кислот, их использование в анализе
Под действием кислот пенициллины инактивируются с образованием пенилловой (при рН 2,0) и пеницилленовой (при рН 5,0) кислот. В обоих случаях на 1-м этапе расщепляется β-лактамный цикл с образованием пенициллоиновой кислоты.
Гидроксамат железа (III) Гидроксамат меди (II) (красно-фиолетовый раствор) (зеленый осадок)
Рис. 5. Гидроксамовая реакция
Затем происходит конденсация карбоксильной или амидной группы с гидроксильной группой ацильного радикала (рис. 6).
Рис. 6. Образование пенилловой и пенициленовой кислот
Реакция с реактивом Марки
Пенициллины с реактивом Марки (раствор формалина в концентрированной серной кислоте) образуют окрашенные продукты. Наиболее характерной эта реакция является для феноксиметилпенициллина (красное окрашивание при комнатной температуре и углубление окраски при нагревании). Реакция протекает за счет феноксиуксусной кислоты, которая образуется из феноксиметилпенициллина при действии концентрированной серной кислоты.
Фенол с реактивом Марки образует ауриновый краситель красного цвета. Ампициллин и амоксициллин за счет остатка аминокислоты в ацильной части молекулы дают реакцию с нингидрином и солями меди (II) (с реактивом Фединга или раствором меди сульфата).
Испытания на чистоту
Пенициллины могут легко изменяться пол влиянием внешних воздействий, поэтому для них обязательным является испытание на прозрачность и цветность.
Все препараты оптически активны (правовращающие). УФ-спектрофотометрия используется для определения посторонних примесей. Поглощение при 320 им обусловлено образованием тиольной формы пенициллоиновой кислоты.
1.1.7 Методы количественного определения
Количественное определение пенициллинов проводят йодометрическим методом. Соли бензилпенициллина растворяют в воде, а феноксиметилпенициллин - в фосфатном буфере с рН 7,0. Затем добавляют раствор гидроксида натрия и оставляют на 20 мин. После щелочного гидролиза к смеси прибавляют соляную кислоту, раствор ацетатного буфера (рН 4,5) и избыток 0,01 н. раствора йода. Оставляют на 20 мин в темном месте и титруют избыток 0,01 н. раствора йода 0,01 и. раствором натрия тиосульфата. Параллельно проводят контрольный опыт с таким же количеством препарата, но без щелочного гидролиза.