Цефалоспорины
Рис. 7. Форма выпуска цефалоспоринов
Химическое строение и физико-химические свойства
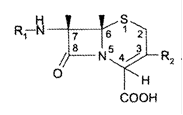
В основе строения цефалоспоринов лежат 7-аминоцефалоспорановая кислота (7-AЦК) и 7-аминодезацетоксицефалоспорановая кислота (7-АДЦК), которые состоят из 2 конденсированных колец: β-лактамного (В) и метадигидротиазинового (А). Рентгеноструктурный анализ позволил установить идентичность пространственной структуры β-лактамных колец в пенициллинах и цефалоспоринах. Различие - в расположении экзоцикпических карбоксильных групп (рис. 8).
Микробиологическая активность отдельных цефалоспориновых антибиотиков, полученных путем химической модификации природной молекулы, определяется типом дополнительно введенных заместителей.
Рис. 8. Общая формула цефалоспоринов
Эти препараты представляют собой порошок белый или белый со слегка желтоватым оттенком (за счет возможного окисления метадигидротиазинового кольца). Кислотные формы трудно и малорастворимы в воде, натриевые соли - легко растворимы, Препараты оптически активны (асимметрические атомы углерода в 6-м и 7-м положении), правовращающие.
Водные растворы цефалоспоринов дают в УФ области характерную полосу поглощения с максимумом при длине волны около 260 нм.
Химические свойства
Цефалоспорины являются кислотами (за счет карбоксильной группы в 4-м положении); некоторые из них применяются в виде натриевых солей (цефадотин). Цефалексин обладает амфотерными свойствами: кроме карбоксильной группы, содержит основную группу.
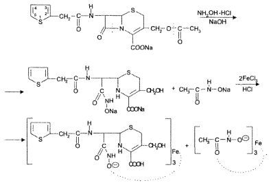
Общие химические свойства цефалексина и цефалотина обусловлены наличием в их составе молекул атома серы (способность к окислению) и β-лактамного кольца (гидроксамовая peaкция).
Реакцию окисления проводят 80% раствором H2SО4, содержащей 1% азотной кислоты. Цефалексин образует желтое окрашивание, цефалотина натриевая соль - зеленое, переходящее в красновато-коричневое.
Гидроксамовая реакция проводится по методике для пенициллинов. Цефалотин, кроме того, дает гидроксамовуго реакцию и на сложноэфирную группу:
Гидроксаматы железа (III) красно-фиолетового цвета
Цефалексин (как и ампициллин, амоксициллин) содержит в ацильной части молекулы остаток α-фениламиноуксусной кислоты и поэтому дает реакцию с нингидрином (вишневое окрашивание) и сульфатом меди после нейтрализации раствором гидроксида натрия (оливково-зеленое окрашивание).
Для количественного определения цефалоспоринов используют следующие методы:
. Определение активности микробиологическим методом с тест-культурой Bacillus subtilis в сравнении со стандартными образцами препаратов.
. Йодометрический метод так же, как для солей бензил пенициллина, с применением ацетатного буфера рН 4,7.
. Цефалоспорины по Европейской фармакопее определяют методом жидкостной хроматографии (1).
Фармакокинетика
Большинство препаратов этой группы кислотонеустойчиво, плохо всасывается из ЖКТ, поэтому их назначают парентерально. Перорально назначают только цефалексин, цефадроксил, цефаклор и цефуроксим.
Цефалоспорины в значительной степени накапливаются в лёгких, серозных полостях, проникают через плаценту. При менингите концентрация цефалоспоринов в СМЖ составляет почти 50% от содержания в крови. Цефалоспорины хорошо проникают через капсулы абсцессов, причём продукты распада тканей не влияют на их эффективность. По показаниям для получения очень высоких концентраций цефалоспорины можно вводить непосредственно в очаг инфекции.
Препараты выделяются преимущественно путём клубочковой фильтрации и канальцевой секреции, частично - с жёлчью.
Цефалоспорины оказывают бактерицидное действие, нарушая синтез клеточной стенки делящихся микроорганизмов вследствие ацетилирования мембранных транспептидаз. Препараты разных поколений отличаются друг от друга спектром действия.
Цефалоспорины первого поколения имеют спектр действия, сочетающий активность ампициллина и пенициллиназоустойчивых пенициллинов. В отличие от ампициллина, они не действуют на энтерококки и гемофильную палочку, подобно ампициллину не влияют на синегнойную палочку и Bacteroides fragilis и разрушаются β-лактамазами грамотрицательных бактерий. Цефалоспорины первого поколения нефротоксичны (особенно цефалоридин), вызывают тубулярный почечный некроз при назначении высоких доз (более 6 г/сут), особенно у больных с ХПН или одновременно получающих петлевые диуретики.